| 导读: @云南信息报【广西大学留学生的手写汉字,和字帖一样!】据网友@真草篆隶 微博称:图一为衡水中学学生手写的英语作文在网上火了,让好多英国人目瞪口呆。后三张是广西大学的越南汉语零起点留学生入学一年后的手写汉语作文。网友惊呼:和字帖一样!... |



@云南信息报
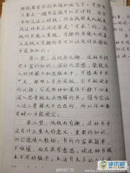
【广西大学留学生的手写汉字,和字帖一样!】据网友@真草篆隶 微博称:图一为衡水中学学生手写的英语作文在网上火了,让好多英国人目瞪口呆。后三张是广西大学的越南汉语零起点留学生入学一年后的手写汉语作文。网友惊呼:和字帖一样!
播放数:617

播放数:549

播放数:1202
